1910
23 марта диакон Петр Шмарин назначен настоятелем на Мантсинсаари и рукоположен во священника 28 марта. Финляндская газета №50 14.04.1910
Православный финляндский сборник 1910 №3 — Свящ. П. Ш-нъ.
1912 год
Конфликт финского и русского образования Uusi Aura№92 23.04.1912
Салмийские окружные школы. Финский язык будет упразднён, заменён русским. В приходе Мантсиля в Салми есть две окружные школы, одна из которых содержится приходом, а другая — синодом, и они находятся под надзором священника и церковного совета. Священник Шмарин также выступает от их имени в качестве основного деятеля. Прошлой осенью он привлек их учителей к работе в русской школе. Теперь он и возглавляемый им церковный совет, как предполагается, разрабатывают новые проекты. На этот раз работа включает в себя упразднение окружной школы, которая давала детям начальное образование. Предполагается, что это связано с уменьшением церковных взносов и уменьшением количества учеников в этой школе. Но сейчас там около двадцати учеников, и откуда только столько взялось, если школа каждый год отправляет своих учеников в начальную школу? — Лаат. (газета Laatokka)
Собрание Православного Карельского Братства и подготовка к созданию газеты на двух языках. Laatokka №150 31.12.1912
22 мая в квартире русского священника в Выборге состоялось годовое собрание Православного Карельского Братства. Среди гостей были, в частности, архиепископ Сергий и комендант Выборгской крепости генерал Петров. Председатель Братства архимандрит Киприан зачитал годовой отчёт, из которого стало известно, что за год Братство израсходовало 51 171 марку, а в настоящее время его фонд составляет 105 137 марок.В Леппяниеми строится школа, на которую Коневецкий монастырь пожертвовал 3000 рублей, а генерал-губернатор – 5000 марок. Община имеет 10 школ: финская начальная школа в Сонкаянранте, 8 русских школ в карельских деревнях и одна русская школа в Линтуле. Необходимые для строительства средства частично получены от Синода, частично – от генерал-губернатора, а для школы Папила – от Валаамского монастыря.Основное внимание в школах уделяется православно-церковному направлению; духовное пение – один из важнейших предметов. В двух школах, Мойсенваара и Карку, также обучают финскому языку начинающих. Детям оказывают материальную, продуктовую и другую помощь. Работают 20 библиотек. В богодельне в Салми работают 8 медсестёр. Ещё один трёхлетний приют будет создан в память о митрополите Антонии.Совет общины перевёл и издал богослужебные книги. В некоторых приходах во время богослужений читается одна-две книги на карельском языке, и священники, знающие карельский, проповедуют на этом языке. (Есть и такие, кто не знает языка своего прихода!) Служили архимандрит Киприан, иеромонах Исаакий, священники И. Кархапяя и Н. Хармайнен. Утверждается, что второй финн; кем был Кархапяя по национальности, не уточняется. Они распространяли книги на «русском, карельском и финском языках». В феврале карельское братство провело аудиенцию в Царском Селе, и «финские сепаратисты» якобы грубо высмеяли членов делегации в местной газете. Вечер, организованный общиной в честь славянских и греческих побед на Балканах, собрал более 125 рублей.Архиепископ Сергий предложил общему собранию братства в избрать почетными членами митрополита Московского Макара, обер-прокурора Священного Синода Саблера и коменданта Выборгского замка генерала Петрова. В своей речи священник села Мантсинсаари Шмарин подчеркнул необходимость воспитания карельских детей в религиозном духе. Говорят, что в финских школах религиозное образование находится в упадке, а в Салми даже учителя, за исключением одного, не ходят в церковь и поэтому не могут служить хорошим примером для своих учеников. Докладчик не упомянул, почему учителя сегодня не ходят в церковь. По словам докладчика, в российских школах при духовенстве, и особенно в братских школах, напротив, большое внимание уделяется религиозному образованию. Поэтому докладчик выразил надежду, что в Карелии будут создаваться только такие школы. В заключение, по предложению архиепископа, был исполнен гимн, а по предложению коменданта Выборгского замка – многолетие архиепископу Киприану и другим, а также коменданту по предложению других.
Новейший способ делать руссификацию.Сообщается, что жители Салми вовсю обсуждают идею создания собственной газеты в Салми. Половина газеты будет выходить на русском языке, другая половина — на салмийском диалекте.
1913 год
20 января начало выпуска «Карельских Известий»
Финляндская газета №5 21.01.1913 — Ш
Из газеты Kajaanin Lehti №9 24.01.1913 можно узнать как устроена работа в двуязычной газете:
Русская газета «Карельские Известия» (Карельские Новости) печатается в Салми на пишущей машинке, позволяющей делать несколько копий одновременно. Машинка была подарена генерал-губернатором Сейном. Перевод на салмиский диалект осуществляется местным клерком за плату в размере 20 финских марок за номер. Если он не найдёт эквивалентных слов на салмиском диалекте, он имеет право использовать литературный финский язык. В издании газеты помогают местные православные священники и преподаватели русского языка. Газета будет выходить в Салми по четвергам в 20:00 (по местному времени). Она двуязычная — русско-карельская, и её программа, согласно объявлению, призвана освещать вопросы православия, политики и русско-карельской народной жизни. Редактор — священник Шмарин из Мантсинсаари, а распространитель — пастор А. Михайлов в Салми.
Из Финляндской газеты №28 22.02.1913 можно узнать о первых номерах Карельских Известий:
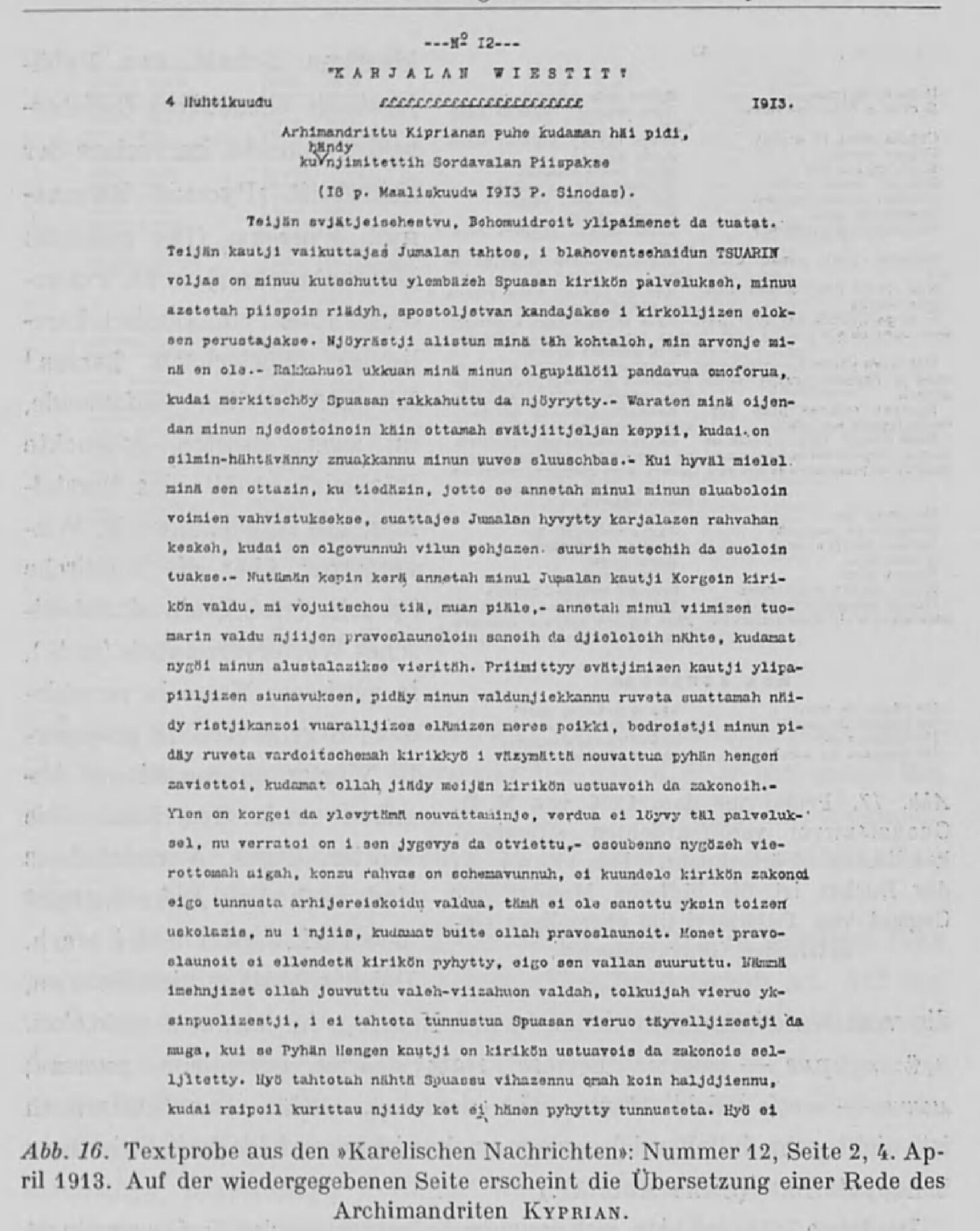
Рис. 16. Образец текста из «Карельских известий»: № 12, стр. 2, 4 апреля 1913 г. Воспроизведенная страница содержит перевод речи архимандрита Киприана.
Studia Fennica : revue de linguistique et d´ethnologie finnoises 1938
Обложка «Карельских известий» 1913 года и первой половины 1914 года. Suomen heimo №8 30.04.1938
Suomen heimo №8 30.04.1938
По словам жителей Салми, печатью занимался тогдашний секретарь Я. Тергиев (Törgy) с помощником в приёмной своего кабинета. Первый номер вышел 20 января 1913 года. Как и все остальные, он имел титульный лист, напечатанный на зелёной бумаге.
Taistelua Karjalasta : piirteitä venäläistämistyöstä Raja-Karjalassa tsaarinvallan aikoina K. Merikoski.
Битва за Карелию: Особенности русификации в Пограничной Карелии в царское время К. Мерикоски
Уже во втором номере газета «Известия» с грустью сообщила о «большой утрате». Священник Свято-Николаевской церкви в Салми А. Михайлов был переведён в Суйстамский приход по распоряжению архиепископа. «Редакция «Вестника» лишилась его доброго и деятельного помощника. В его доме находилась типография газеты, обеспечивавшая ему и его семье счастливую и благополучную жизнь». Иерея Архипа на посту печатника «Вестника» сменил писарь Салминского уезда Я. Тергиев.
В 9-м и 10-м номерах «Вестей» за 1913 год член карельского братства излагает следующие мысли на карельском диалекте по «вопросу народной трезвости»:
«Прошедший год был знаменателен для Карелии тем, что в нём встал вопрос о трезвости в народе. Постановка этого вопроса была очень своевременной, и он прочно обрёл своё место в карельском братстве. Я хотел бы пожелать этой новой звезде на нашем облачном небе всего самого лучшего, но боюсь, что меня не будут слишком часто поздравлять. Дорогой читатель! Искоренение алкоголизма в народе – дело чрезвычайно важное, но и очень трудное. Однако Бог благоволит к этому делу. Не будем бояться своей немощи, ибо сила Божия – наша помощь. С Божьей помощью в деле трезвости. Давно пора начать противостоять алкоголю, который распространяет яд и смерть среди людей. Но, прежде чем идти на битву с таким противником, мы должны хорошо его знать. Наш враг чрезвычайно искусен и силён. Поэтому его методы должны быть раскрыты.
…Когда мы смотрим на жизнь пьяницы, мы видим в ней столько несчастий, что трудно выразить это словами. Братья! Давно пора начать дорогостоящий труд воздержания и начать борьбу с тем, кто творит разрушение. Мы должны раздобыть для себя книги, осуждающие употребление спиртного. Из них мы увидим, сколько несчастий и зла приносит спиртное подрастающему поколению и нашей родине.
В номере газеты «Карельских Известий» за 1913 год вновь возвращается к теме трезвости. Этот выпуск примечателен тем, что содержит предложение по организации работы по трезвости, запланированной братством. В начале написаны серьёзные слова: «Raittjivuon puoles» («За трезвость»):
Основатели Карельского общества трезвости осмеливаются сказать здесь несколько слов тем, кто уже вступил или планирует вступить в общество трезвости или кто согласен с членами общества.
Отцы и братья. Мы прекрасно знаем, сколько зла приносит пьянство. Нет нужды объяснять это дальше. Жизнь ясно показала нам его зло. Те, кто из нас имеет ясный ум и чье сердце не угасло, не должны оставаться беспечными или в стороне от работы по искоренению пьянства в народе. Однако противостоять пьянству можно лишь тогда, когда сам не пьёшь и хорошо осознаёшь вред, который приносит употребление проклятого напитка. В противном случае мы могли бы указать пальцем на себя и сказать: «Сначала исцелись сам, а потом приходи исцелять других» или: «В чужом глазу соринку видишь, а в своём бревна не видишь». Чтобы другие тебя уважали, ты сам должен быть высоким. Стрела летит далеко лишь тогда, когда лук крепок и жёсток. Мы с самого начала знаем, что встретим на своём пути немало сопротивления. Поэтому нам нужны талант и сила в нашей работе. Враг близок, он внутри нас. Он опутал своими ловушками почти весь мир. Мы должны всегда помнить слова апостола: «Да не хулится ваше доброе» и: «Берегись, потому что ты идёшь по опасному пути». Уповая на Божию помощь и помня слова Спасителя о том, что всё возможно верующему, мы можем сокрушить голову «зелёного змея».
Затем следует
»Устав Общества трезвости, учрежденный при Генеральном совете Карельского братства.
1) Целью общества трезвости является искоренение пьянства и распутства среди карельского простого народа и воспитание в нем трезвости на духовной основе.
2) Общество подчиняется Генеральному Совету Карельского Братства. Председатель общества назначается Советом Братства из числа членов общества, являющихся священнослужителями. Напоминание: Председатель может, с разрешения Совета Братства, назначить себе помощника.
3) Общество принимает в свои ряды православных верующих, как мужчин, так и женщин, независимо от места жительства.
4) Общество принимает в свои ряды людей, никогда не употребляющих алкоголь. Они могут стать примером для тех, кто слаб и не может себя контролировать.
Напоминание: школы создают собственные клубы трезвости для учащихся.
5) Вступающий в Общество должен хранить данное Богу обещание как священную клятву и помнить слова Апостола: «Мы должны вести трезвый образ жизни и не быть упниками пьянства».
6) Приём в члены Общества производится в церквях, часовнях и других подобных местах следующим образом:
Сначала совершается молитвы святого этого селения или местности, согласно словам Спасителя: «Без Меня не можете творить ничего» и: «И всё, что ни сделаете во имя Моё, будет вам». Затем посвящаемый стоит перед священником с горящей восковой свечой в руке. Священник держит крест и Евангелие, и посвящаемый даёт ему следующее обещание: «Во имя Отца и Сына и Святого Духа. Господи, благослови. Господи, помоги мне. Я, раб Твой (посвящаемый называет своё имя), даю Тебе обещание перед этим святым образом, что не буду пить пива, вина и других крепких напитков (указывается срок действия обещания) и не буду предлагать их другим. Обещаю это ради собственного спасения и ради доброго примера, и нарушение этого обещания строго осуждается и заслуживает Божьего наказания. В подтверждение своего обещания я целую Святое Евангелие и Святой Крест Спасителя Животворящего. Господи, помоги мне силою Твоего креста. Святая Богородица, святые архангелы и ангелы, и все святые, молитесь о моих грехах.
После этого желающий вступить в общество трезвости совершает земной поклон, целует святой крест и окропляется святой водой.
8) Каждому члену общества выдаются настоящие правила в качестве свидетельства о членстве.
9) Обет воздержания дается на срок от трех месяцев до трех лет. По истечении этого срока член автоматически исключается из общества, если не принесет нового обета в порядке, изложенном выше.
10) Делами общества управляет Генеральный совет Карельского братства.
11) Генеральный совет братства может вносить необходимые изменения в настоящие правила, если члены братства потребуют этого на собраниях общества или на совете братства.»
Карельские Известия о просветителях, которые не крестят лоб, перепечатано в Финляндской газете №109 15.06.1913:
Карельские Известия об Епархиальном съезде на Валааме, перепечатано в Финляндской газете №188 11.10.1913
Карельские Известия об открытии рускоязычных школ, упоминается конфликт с младофинской газетой Laatokka, перепечатано в Финляндской газете №208 11.11.1913
Из газеты Hufvudstadsbladet №316 19.11.1913 можно узнать, что у Карельских Известий были проблемы, а так же там фотография Петра Шмарина:
Агитация в Карелии.
Когда объявляют, что русско-карельская агитационная газета «Карельские Известия» прекращает свою деятельность из-за отсутствия успеха и читателей, интересно было бы узнать о личности главного редактора этой газеты, пастора Смарина.




















